Passer au contenu principal
Kérianne Sage-femme
Kérianne Sage-femme
Accueil
Consultation prénatale
Préparation à la naissance
Post-partum à domicile
Tarifs
Blog
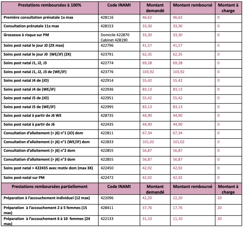
Tarifs :
Numéro INAMI :
4-02715-10-003
Numéro BCE :
1027.818.334
Conventionnée :
Oui
Tiers-payant :
Oui
Créez votre propre site internet avec
Webador
Créez votre propre site internet avec Webador